• Предмет: Алгебра
  • Автор: Аноним
  • Вопрос задан 11 лет назад

найти шестой член геометрической прогрессии b=0,81 q =-1/3 решение

Ответы

Ответ дал: alintrua
0

В6 = В1* q^5 = 0.81 * (-1/3)^5

Ответ дал: rezvihl97
0

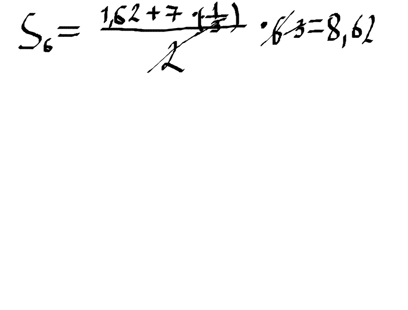
решение внизу,во вложении....

Приложения:
Вас заинтересует