• Предмет: Физика
  • Автор: artem9712
  • Вопрос задан 11 лет назад

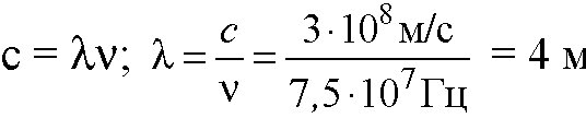
Радиостанция ведет передачу на частоте 75 МГц Найти длину волны

Ответы

Ответ дал: Викуськаа
0

Длина волны=скорость света/частота
Длина волны = 3*10^8 / 75*10^6 = 4 м

Ответ:4 м

Ответ дал: PointBlank09
0

Я добавил решение!

Оно во вложениях!

Приложения:
Вас заинтересует