Ответы
Ответ дал:
0
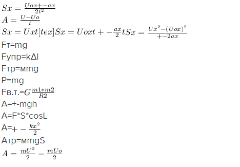
1. проекция перемещения на ось х
2. ускорение
3. еще одна формула проекции вектора перемещения
4. сила тяжести
5. сила упругости
6. сила трения
7. вес тела
8. закон всемирного тяготения
9. работа силы тяжести
10. общая формула механической работы
11. работа силы упругости
12. работа силы трения
13. изменение кинетической энергии движущегося тела (работа =кинетической энергии движущегося тела)
2. ускорение
3. еще одна формула проекции вектора перемещения
4. сила тяжести
5. сила упругости
6. сила трения
7. вес тела
8. закон всемирного тяготения
9. работа силы тяжести
10. общая формула механической работы
11. работа силы упругости
12. работа силы трения
13. изменение кинетической энергии движущегося тела (работа =кинетической энергии движущегося тела)
Вас заинтересует
3 года назад
3 года назад
8 лет назад
8 лет назад
10 лет назад
11 лет назад