Ответы
Ответ дал:
0
обрати внимание на пример, я его правильно списал ?
если там не понятно, то вот :
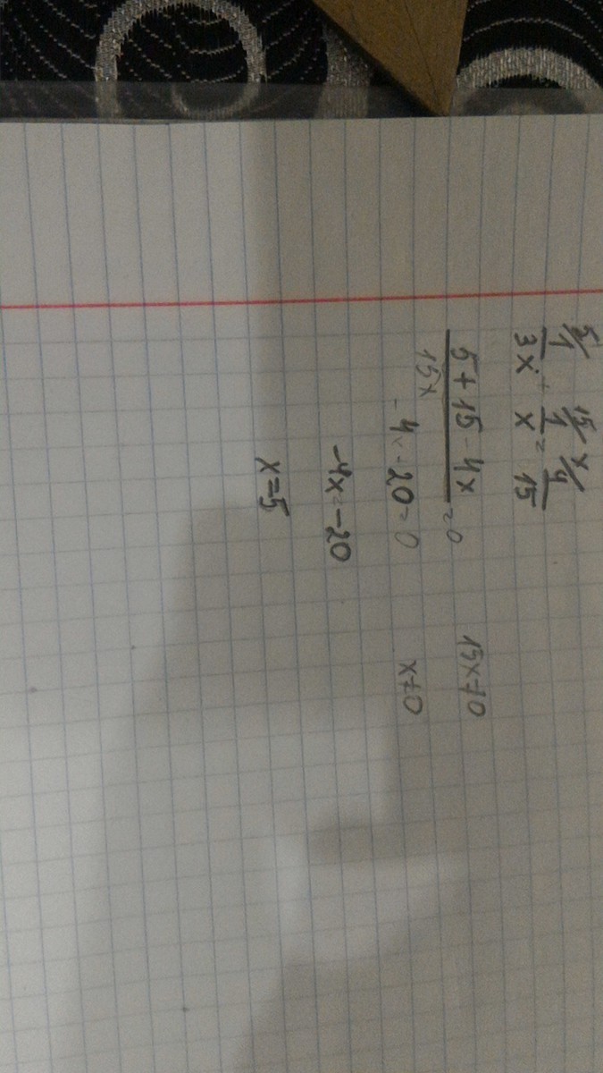
-4x+20=0
-4x=-20
x=5
Приложения:

Ответ дал:
0
1/3x + 1/x = 4/15
1/3x + 3/3x = 4/15
4/3x = 4/15
3x = 15
x = 5
Ответ: {5}
1/3x + 3/3x = 4/15
4/3x = 4/15
3x = 15
x = 5
Ответ: {5}
Приложения:

Вас заинтересует
2 года назад
2 года назад
7 лет назад
7 лет назад
10 лет назад
10 лет назад
10 лет назад