Ответы
Ответ дал:
0
1.
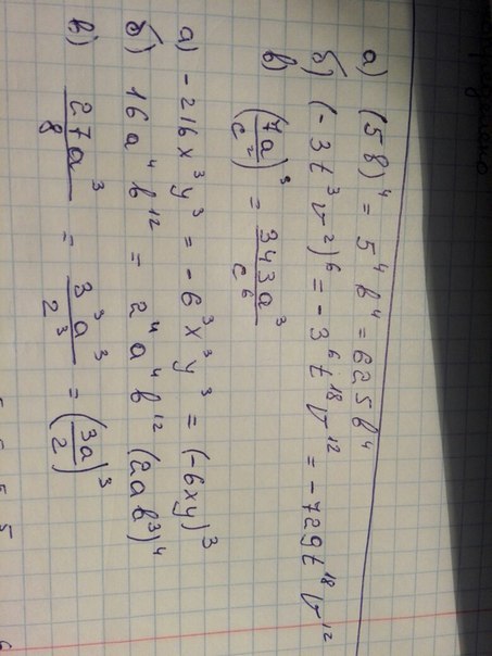
А) (5b)4= 5b*5b*5b*5b=625b в четвертой степени
Б)729t18v12
В) 343а3/с6
2.-
3.
1.
2. -17/16 m2n3
3.
А) (5b)4= 5b*5b*5b*5b=625b в четвертой степени
Б)729t18v12
В) 343а3/с6
2.-
3.
1.
2. -17/16 m2n3
3.
Ответ дал:
0
спасибо
Ответ дал:
0
на фотографии несколько заданий сделала)
Приложения:

Ответ дал:
0
Спасибо)
Вас заинтересует
2 года назад
2 года назад
7 лет назад
7 лет назад
10 лет назад
10 лет назад
10 лет назад