Ответы
Ответ дал:
0
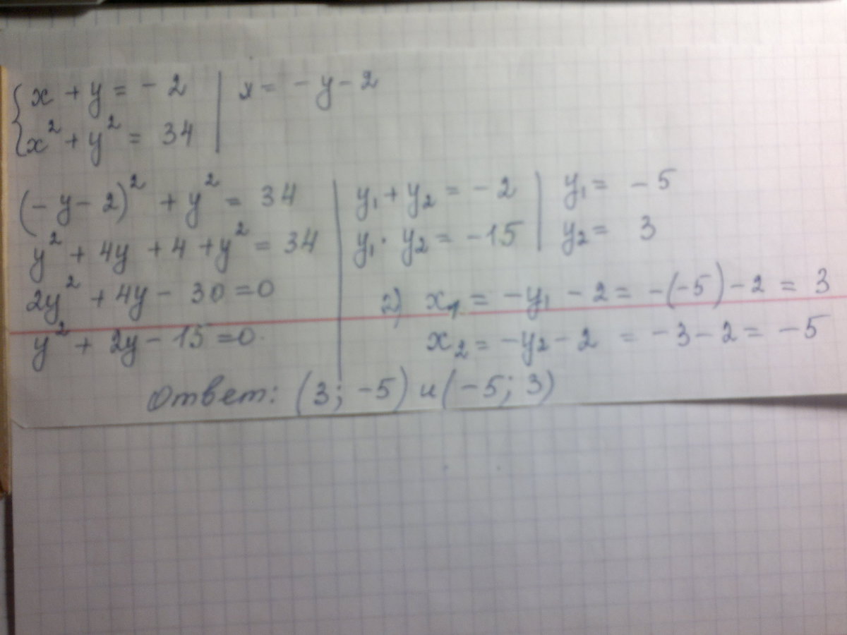
Рассмотрим систему уравнений:


или

x = 3, y = -5 или х = -5, у = 3
Ответ: 3 и -5
или
x = 3, y = -5 или х = -5, у = 3
Ответ: 3 и -5
Ответ дал:
0
Ответ у Вас неправильный. Графиком первой функции является прямая. Графиком второй функции является окружность. Прямая и окружность пересекаются в двух точках (–5;3) и (3;–5). В решении должно быть не "или", а "и".
Ответ дал:
0
пишите, если что не так
Приложения:
Вас заинтересует
3 года назад
3 года назад
8 лет назад
10 лет назад
10 лет назад
11 лет назад