• Предмет: Алгебра
  • Автор: vanyabereg
  • Вопрос задан 10 лет назад

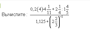
помогите пожалуйста

Приложения:

Ответы

Ответ дал: lezginka12
0
.................................................................
Приложения:
Ответ дал: vanyabereg
0
спасибо
Ответ дал: lezginka12
0
видно?
Вас заинтересует