• Предмет: Алгебра
  • Автор: larrystylinson1d69
  • Вопрос задан 10 лет назад

Пожалуйста помогите!
очень срочно надо!

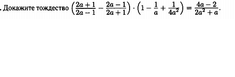
Приложения:

Ответы

Ответ дал: fatya717
0
( frac{(2a+1)(2a+1)-(2a-1)(2a-1)}{(2a+1)(2a-1)} )* (frac{4 a^{2} -4a+1}{4 a^{2} } )=( (frac{4 a^{2}+4a+1)-(4 a^{2}-4a+ 1)}{(2a+1)(2a-1)} )*  \  frac{(2a-1)^2}{4 a^{2} } = frac{8a}{2a+1} * frac{2a-1}{4 a^{2} } = frac{2(2a-1)}{a(2a+1)} = frac{4a-2}{2 a^{2} +a}
Вас заинтересует