Ответы
Ответ дал:
0
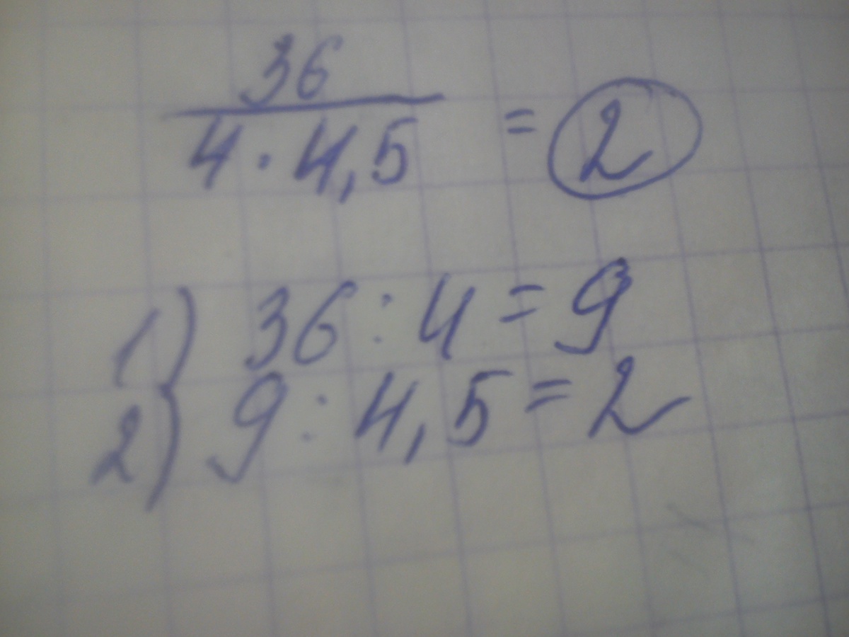
первое действие:4*4,5=18
второе действие:36/18=2
второе действие:36/18=2
Ответ дал:
0
ну вот...смотри.. всё расписано,если не затруднит,то отметь "лучший ответ",буду очень благодарна
Приложения:

Ответ дал:
0
спасибо большое,обращайся,если нужно будет
Ответ дал:
0
спасибо,хорошо
Вас заинтересует
2 года назад
7 лет назад
7 лет назад
10 лет назад
10 лет назад