• Предмет: Алгебра
  • Автор: tyison83
  • Вопрос задан 10 лет назад

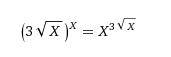
помогите решить! (*Там кубический корень если что )

Приложения:

Ответы

Ответ дал: flsh
0

 (sqrt[3]{x})^{x}=x^{sqrt[3]{x}}
 x^{ frac{x}{3}}=x^{x^{frac{1}{3}}}
 frac{x}{3} = x^{ frac{1}{3} }
x^{frac{2}{3} }=3
x_{1}  = - 3sqrt{3}
x_{2}  = 3sqrt{3}


Вас заинтересует