• Предмет: Алгебра
  • Автор: Азиза0007
  • Вопрос задан 10 лет назад

Решите уравнение:
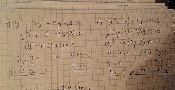
1)y^3+3y^2-4y-12=0
2)4y^3-3y^2-4y+3=0
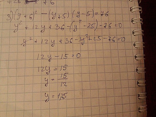
3)(y+6)^2-(y+5)(y-5)=79

Ответы

Ответ дал: feechkavika007
0
Вроде так. Надеюсь помогла))
Приложения:
Вас заинтересует