• Предмет: Алгебра
  • Автор: vipkute1
  • Вопрос задан 10 лет назад

найдите значчения выражения

Приложения:

Ответы

Ответ дал: Chups
0
Художник) 
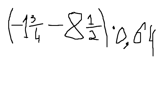
(-1 frac{3}{4} -8 frac{1}{2} ) *0.64
(-7/4-17/2)*0.64
(-7/4-34/4)*0.64
(-41/4)*0.64
-10.25*0.64=-6,56
Вас заинтересует