помогите пожалуйста!!
Упростите вырожение, расписывая все
под буквами (а и б) #433, качество плохое тк ночь!
Приложения:

Ответы
Ответ дал:
0
------------------------------------
Приложения:

Ответ дал:
0
ПРОВЕРЬ БУКВУ В - ТАМ У ТЕБЯ ОШИБКА
Ответ дал:
0
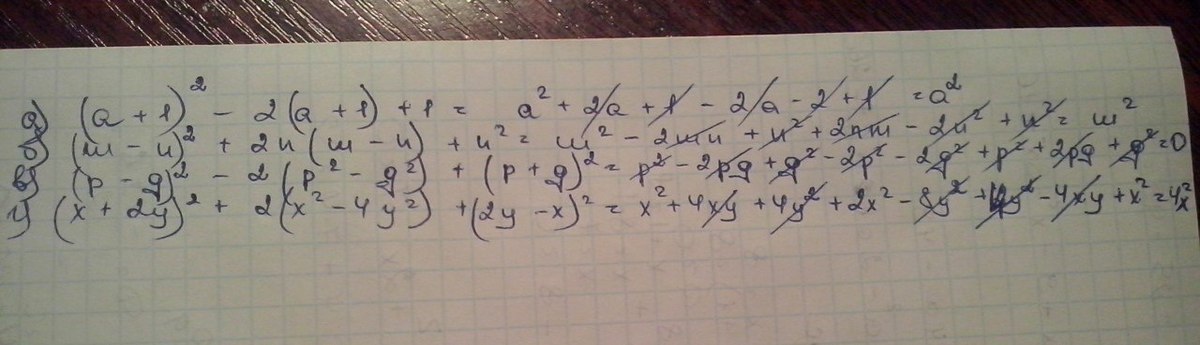
А). = a²+2a+1 - 2a-2+1 = a²
Б). = m²-2mn+n²+2nm-2n²+n² = m²
В). = p² - 2pq+q²-2p²+2q²+p²+2pq+q² = 4q² - проверь, там при раскрытии скобки +2q²
Г). (х+2y)²+2*(x²-4y²)+(2y-x)². = x²+4xy+4y²+2x²-8y²+4y²-4xy+x² = 4x²
Б). = m²-2mn+n²+2nm-2n²+n² = m²
В). = p² - 2pq+q²-2p²+2q²+p²+2pq+q² = 4q² - проверь, там при раскрытии скобки +2q²
Г). (х+2y)²+2*(x²-4y²)+(2y-x)². = x²+4xy+4y²+2x²-8y²+4y²-4xy+x² = 4x²
Приложения:

Вас заинтересует
2 года назад
2 года назад
7 лет назад
10 лет назад
10 лет назад
10 лет назад