Ответы
Ответ дал:
0
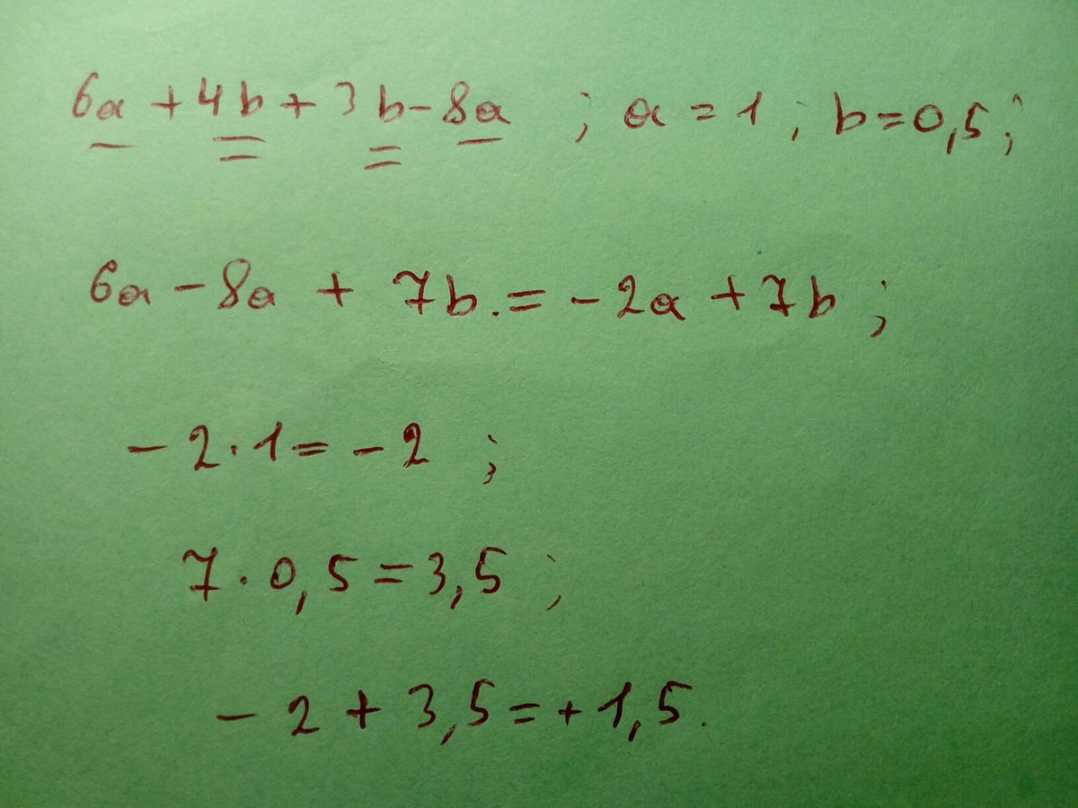
Сначала сложи А и В:7b-2a
Теперь подставляем значения:
7*0.5-2*1=3.5-2=1.5
Теперь подставляем значения:
7*0.5-2*1=3.5-2=1.5
Ответ дал:
0
спасибо большое
Ответ дал:
0
не за что)
Ответ дал:
0
Правильный ответ в фото.
Приложения:

Ответ дал:
0
спасибо
Вас заинтересует
2 года назад
2 года назад
7 лет назад
10 лет назад
10 лет назад
10 лет назад