Ответы
Ответ дал:
0
5) (x+1)²(x² +2x)=12
(x² +2x+1)(x² +2x)=12
y=x²+2x
(y+1)y=12
y²+y-12=0
D=1+48=49
y₁=(-1-7)/2=-4
y₂=(-1+7)/2=3
При у=-4
x²+2x=-4
x²+2x+4=0
D=4-16<0
нет решений
При у=3
x²+2x=3
x²+2x-3=0
D=4+12=16
x₁=(-2-4)/2=-3
x₂=(-2+4)/2=1
Ответ: -3; 1.
7)
(x²-4x+1)(x²-4x+2)=12
y=x²-4x
(y+1)(y+2)=12
y²+y+2y+2=12
y²+3y-10=0
D=9+40=49
y₁=(-3-7)/2=-5
y₂=(-3+7)/2=2
При у=-5
x²-4x=-5
x²-4x+5=0
D=16-20<0
нет решений
При у=2
x²-4x=2
x²-4x-2=0
D=16+8=24
x₁=
x₂=2+√6
Ответ: 2-√6; 2+√6
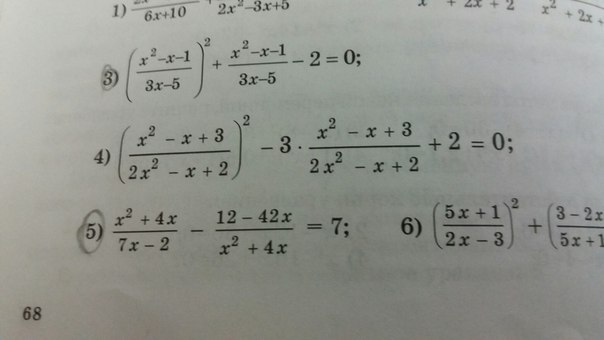
3)
x≠5/3

y²+y-2=0
D=1+8=9
y₁=(-1-3)/2=-2
y₂=(-1+3)/2=1
При у=-2

При у=1

Ответ:
(x² +2x+1)(x² +2x)=12
y=x²+2x
(y+1)y=12
y²+y-12=0
D=1+48=49
y₁=(-1-7)/2=-4
y₂=(-1+7)/2=3
При у=-4
x²+2x=-4
x²+2x+4=0
D=4-16<0
нет решений
При у=3
x²+2x=3
x²+2x-3=0
D=4+12=16
x₁=(-2-4)/2=-3
x₂=(-2+4)/2=1
Ответ: -3; 1.
7)
(x²-4x+1)(x²-4x+2)=12
y=x²-4x
(y+1)(y+2)=12
y²+y+2y+2=12
y²+3y-10=0
D=9+40=49
y₁=(-3-7)/2=-5
y₂=(-3+7)/2=2
При у=-5
x²-4x=-5
x²-4x+5=0
D=16-20<0
нет решений
При у=2
x²-4x=2
x²-4x-2=0
D=16+8=24
x₁=
x₂=2+√6
Ответ: 2-√6; 2+√6
3)
x≠5/3
y²+y-2=0
D=1+8=9
y₁=(-1-3)/2=-2
y₂=(-1+3)/2=1
При у=-2
При у=1
Ответ:
Ответ дал:
0
Добавила второе , посмотри
Приложения:
Вас заинтересует
3 года назад
8 лет назад
8 лет назад
10 лет назад
10 лет назад
10 лет назад
10 лет назад