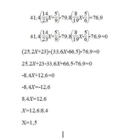
РЕшите уравнение люди пЛиз :
41,4( 14/23х+5/9)-79,8(8/19х-5/6)=76,9
Упрощение
25,2х+23-75,6х-66,5=76,9
Ответ. Х=1.5 нужно решение до завтра плиз
Ответы
Ответ дал:
0
===============================================================
Приложения:

Вас заинтересует
2 года назад
2 года назад
8 лет назад
10 лет назад
10 лет назад
10 лет назад