Ответы
Ответ дал:
0
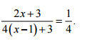
4( 2x + 3) = 4( x - 1) + 3
8x + 12 = 4x - 4 + 3
8x + 12 = 4x - 1
8x - 4x = - 12 - 1
4x = - 13
x = - 3,25
8x + 12 = 4x - 4 + 3
8x + 12 = 4x - 1
8x - 4x = - 12 - 1
4x = - 13
x = - 3,25
Вас заинтересует
3 года назад
3 года назад
8 лет назад
10 лет назад
10 лет назад
11 лет назад