Ответы
Ответ дал:
0
примерно так :))
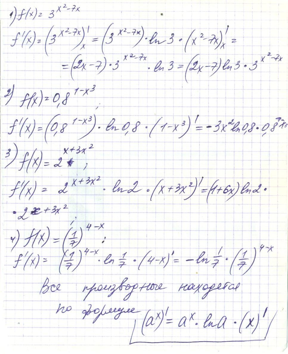
во втором задании 0,8 в степени 1 - х в кубе :)
во всех примерах задана сложная показательная функция
во втором задании 0,8 в степени 1 - х в кубе :)
во всех примерах задана сложная показательная функция
Приложения:
Ответ дал:
0
Спасибо =)
Вас заинтересует
2 года назад
2 года назад
8 лет назад
8 лет назад
10 лет назад
10 лет назад