Помогите решить, пожалуйста
Решала несколько раз, но ответы так и не сошлись с ключами
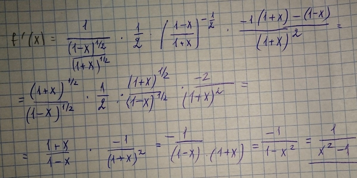
Приложения:

Ответы
Ответ дал:
0
Надеюсь, что это правильно.
Приложения:

Вас заинтересует
2 года назад
7 лет назад
10 лет назад