• Предмет: Алгебра
  • Автор: nagibator9810
  • Вопрос задан 10 лет назад

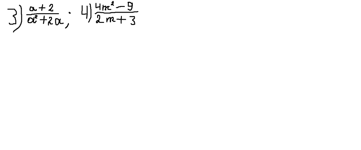
сократите дробь. Плиииииз!!!!!

Приложения:

Ответа на этот вопрос пока нет. Попробуйте найти его через форму поиска.

Вас заинтересует