• Предмет: Алгебра
  • Автор: KAZAKH02
  • Вопрос задан 10 лет назад

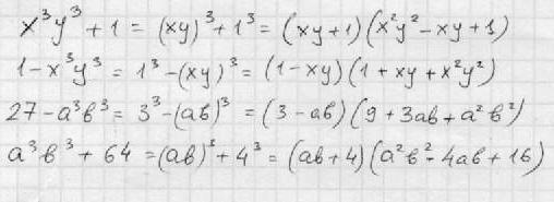
Представьте в виде произведения
1)x^3y^3+1
2)1-x^3y^3
3)27-a^3b^3
4)a^3b^3+64

Ответы

Ответ дал: математик2011
0
Всё!!!!!!!!!!!!!!!!!!!!!!!!!!!!!!
Приложения:
Ответ дал: KAZAKH02
0
Спасибо, мистер! 
Вас заинтересует