• Предмет: Алгебра
  • Автор: Зайчёнок17
  • Вопрос задан 11 лет назад

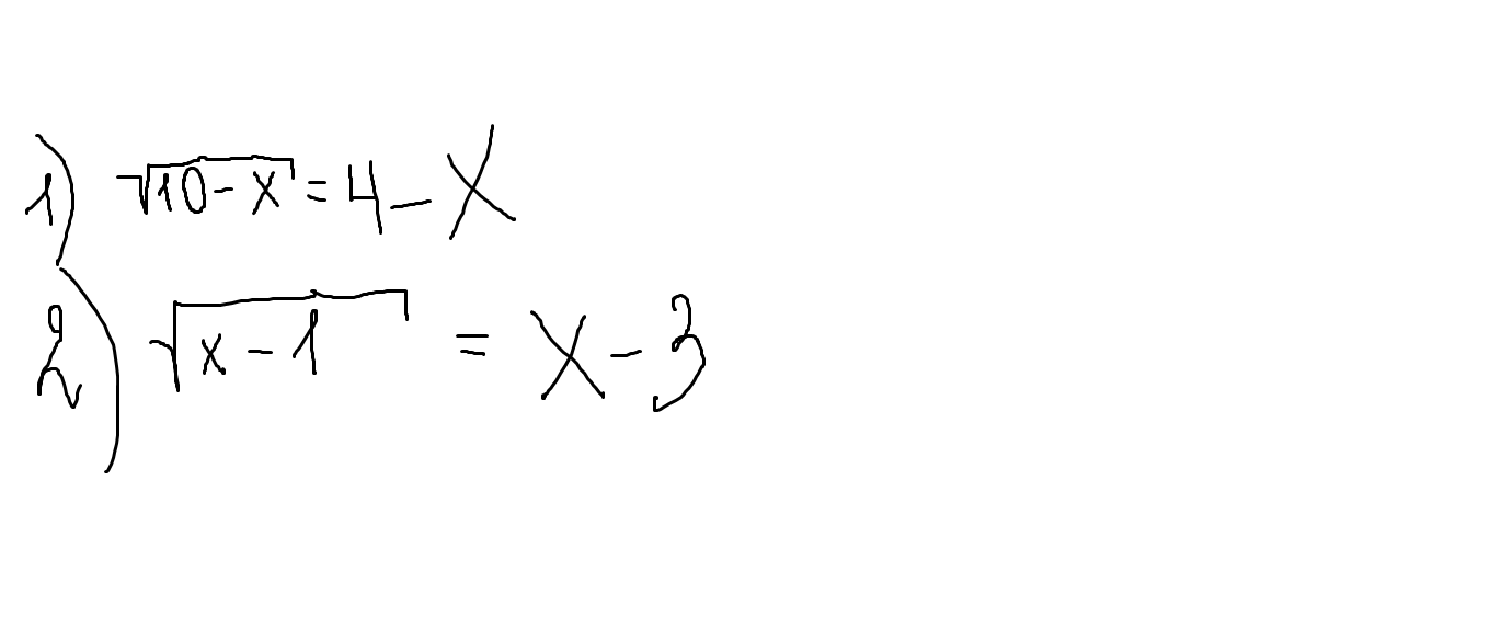
решите уравнение,нарисовано очень каряво,но что-то понятно))помогите очень нужно)

 

Приложения:

Ответы

Ответ дал: Nikuskaa
0

 

1)возведем в квадрат обе части;
10-x= 16-8x+ x(в квадрате) 
x(в квадрате) -7х+6=0
x=1 или х=6
проверка( подставляем х в условие):
х=1    корень из 9= 3 верно
х=6    корень из 4= -2 неверно
ответ: 1
2)возведем в квадрат обе части:
х-1=x(в квадрате) -6х+ 9
x(в квадрате) - 7х+ 10=0
х=5 или х=2
проверка:
х=5 корень из 4=2 верно
х=2 корень из 1=-1 неверно

ответ: 5

 

 

 

Ответ дал: Gnomka
0

И в 1, и во 2 задании нужно сначала возвести обе части уравнения в квадрат (чтобы избавиться от знака конря).

Потом просто преобразовать полученное уравнение. Перенести все на одну сторону от знака равенства, привести подобные и Вычислить значения Х.

Вас заинтересует