• Предмет: Химия
  • Автор: koty077
  • Вопрос задан 10 лет назад

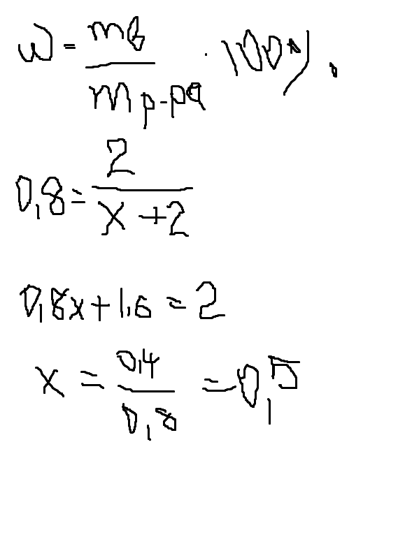
дано m чист в-ва=2 кг W чист в-ва=80% найти m смеси

Ответы

Ответ дал: bognas
0
смотри картинку, 0,5 кг ответ
Приложения:
Вас заинтересует