• Предмет: Алгебра
  • Автор: lark1972
  • Вопрос задан 10 лет назад

Помогите с номером 6! ВО вложении! Пожалуйста! Срочно!

Приложения:

Ответы

Ответ дал: revushka1
0
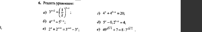
a) 3^{x-2}= (1/2)^{2-x}= 2^{x-2}  =>  frac{ 3^{x-2} }{ 2^{x-2} }=  frac{3}{2} ^{x-2}=1=  frac{3}{2} ^{0}   => x-2=0 => x=2
б) 4^{ x-1}= 5^{1-x}=  frac{1}{5} ^{x-1}   =>  (4*5)^{x-1} = 20^{x-1}=1= 20^{0}  => x=1
в) 2^{x}+ 2^{x+1}= 3^{x+1}- 3^{x}    =>  2^{x}+2* 2^{x}  =3* 2^{x}=3* 3^{x} - 3^{x}=2* 3^{x}      frac{2}{3} ^{x}= frac{2}{3}  => x=1
г)  0=-20+4^{x}+ 4^{3-x}=-20+ 4^{x}+ frac{64}{ 4^{x} }     =>  4^{-x}*(64-20*4^{x}+ 4^{2x})=0    т.к. 1(4^x) не равно нулю, то получаем квадрат. уравнение  y^{2}-20y+64=0 y=16, y=4, y= 4^{x} x=1, x=2
д) 4=5^{x}- 5^{x-1}= 5^{x}*(1- frac{1}{5} )= frac{4}{5} 5^{x}=4*5^{x-1}      сокращаем 4, х-1=0 х=1
е)  49^{ sqrt{x-1} }+7 =8* 7^{ sqrt{x-1} }  опять получаем квадрат ур y^2-8y+7=0 => y=1, y=7 => y= 7^{ sqrt{x-1} }=1= 7^{0}  x=1  7^{ sqrt{x-1} }= 7^{1}  x=2
Ответ дал: lark1972
0
Огромное спасибо! Помогите еще с этим , пожалуйста! http://znanija.com/task/16266516
Вас заинтересует