Ответы
Ответ дал:
0
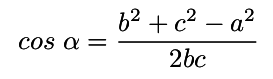
решение смотрите в вложении
Приложения:

Ответ дал:
0
размыто,не понятно
Ответ дал:
0
секунду
Ответ дал:
0
как сейчас?
Ответ дал:
0
хорошо,благодарю
Ответ дал:
0
нзч
Вас заинтересует
2 года назад
10 лет назад
10 лет назад