• Предмет: Математика
  • Автор: elvinka253
  • Вопрос задан 10 лет назад

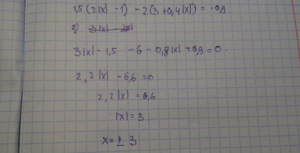
1,5(2|x|-1)-2(3+0,4|x|)=-0,9
Пожалуйста помогите ,мне надо срочно сдать

Ответы

Ответ дал: BiggieGins
0
Решение простое , думаю затруднений не будет ... 
Приложения:
Ответ дал: elvinka253
0
Я не знаю как это решать
Ответ дал: elvinka253
0
Спасибо)сначала не увидела ответ
Вас заинтересует