• Предмет: Математика
  • Автор: eseninaleks201
  • Вопрос задан 10 лет назад

Помогите пожалуйста решить....

Приложения:

Ответы

Ответ дал: kirichekov
0
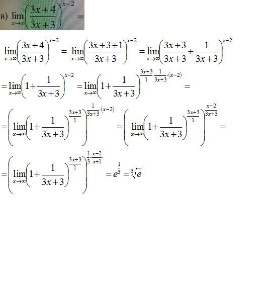
решение на фото или на рисунке
Приложения:
Ответ дал: eseninaleks201
0
Спасибо
Вас заинтересует