• Предмет: Математика
  • Автор: етонея
  • Вопрос задан 10 лет назад

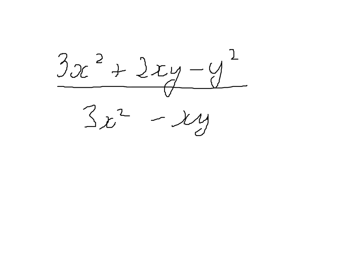
упростите выражение, пожалуйста

Приложения:

Ответы

Ответ дал: koblandy1
0
(3х^2-ху+ху+2ху-у^2)/(3х^2-ху)=1+у*(3х-у)/(х*(3х-у))=1+у/х
Вас заинтересует