Ответы
Ответ дал:
0
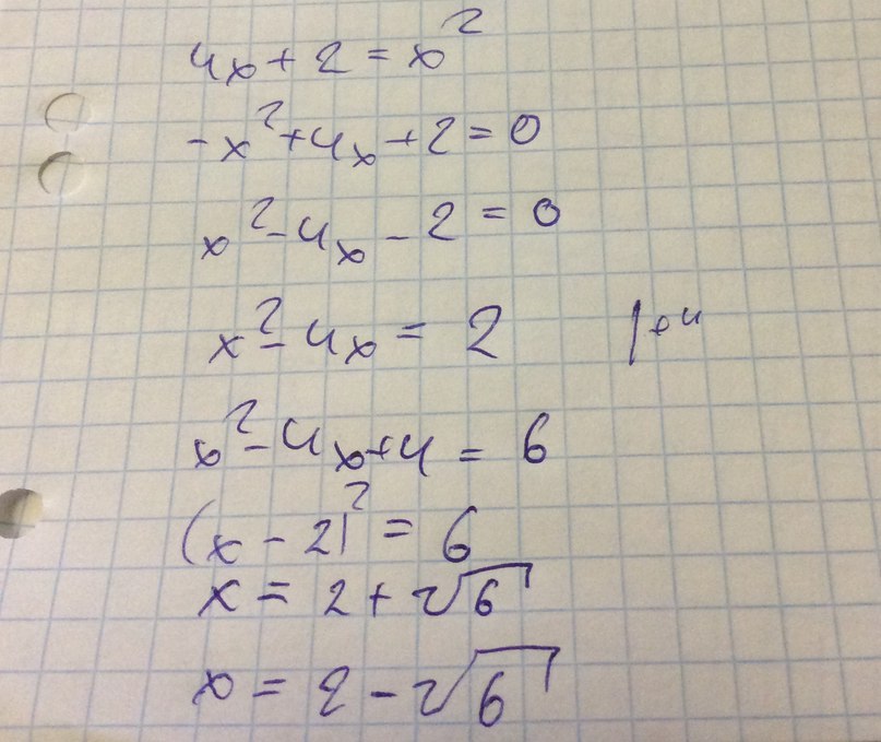
Возводим выражение в квадрат, тем самым избавляемся от корня.Переносим х в левую часть. Прибавляем 4 двум частям уравнения. Сворачиваем выражение формулой квадрат суммы и извлекаем х.
Приложения:

Вас заинтересует
2 года назад
7 лет назад
7 лет назад
10 лет назад
10 лет назад