• Предмет: Математика
  • Автор: НикНик799
  • Вопрос задан 10 лет назад

помогите, пожалуйста.

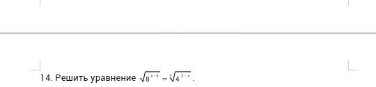
Приложения:

Ответа на этот вопрос пока нет. Попробуйте найти его через форму поиска.

Вас заинтересует