• Предмет: Математика
  • Автор: настёна23100
  • Вопрос задан 11 лет назад

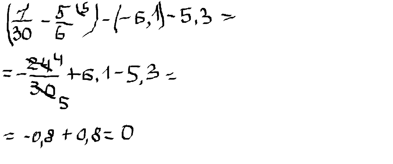
(130-56)-(-3.9-2.2)-5.3

Ответы

Ответ дал: maaaaaaarusya
0

во вложении всё вроде должно понятно быть

Приложения:
Ответ дал: Аноним
0

(1/30-5/6)-(-3,9-2,2)-5,3=(1/30-25/30)-6,1-5,3=24/30-0,8=4/5-0,8=0,8-0,8=0

Приложения:
Вас заинтересует