• Предмет: Алгебра
  • Автор: Begemot201019
  • Вопрос задан 10 лет назад

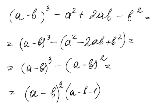
разложите на множители : ( а-б ) ^3-а^2+2аб-б^2

Ответы

Ответ дал: UluanaV
0
Решение в прикрепленном файле.
Приложения:
Вас заинтересует