Ответы
Ответ дал:
0
Решение смотрите в вложении
Приложения:
Ответ дал:
0
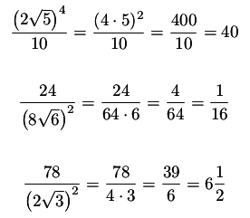
(2 корень 5)^4/10=(корень 20)^4/10=400/10=40
24/(8корень6)^2=24/(корень192)^2=24/192=0.125
78/(2корень3)^2=78/(корень12)^2=78/12=6.5
24/(8корень6)^2=24/(корень192)^2=24/192=0.125
78/(2корень3)^2=78/(корень12)^2=78/12=6.5
Приложения:
Вас заинтересует
2 года назад
8 лет назад
8 лет назад
10 лет назад
10 лет назад
10 лет назад
10 лет назад