• Предмет: Алгебра
  • Автор: katherinequinn
  • Вопрос задан 10 лет назад

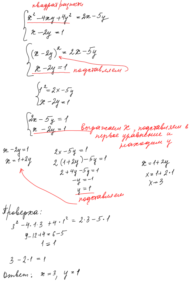
Система уравнений:
x² - 4xy + 4y² = 2x - 5y
x - 2y = 1

Кто может помочь с подробным решением? Спасибо.

Ответы

Ответ дал: UluanaV
0
Решение в прикрепленном файле.
Приложения:
Ответ дал: katherinequinn
0
Спасибо большое, вы мне очень помогли!
Вас заинтересует