• Предмет: Математика
  • Автор: SLADZ199
  • Вопрос задан 10 лет назад

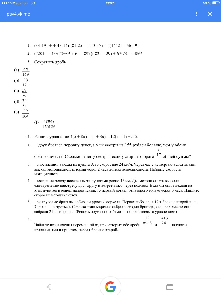
Помогите!!! Номера с 3 до конца.
Спасибо заранее

Приложения:

Ответы

Ответ дал: rozabelyaeva
0
а)   на 13        =5/13                                                                                                      б) на 11     =8/11                                                                                                       в) на 19      =3/4                                                                                                          d)на 17   =2/3                                                                                                           е)   на 13   =3/8                                                                                                           f )    на 462     = 104/273
Ответ дал: таня5511
0
A-5/13
Б-8/11
В-3/4
Г-2/3
Д-3/8
Е-104/273
Вас заинтересует