Помогите с математикой. Тема: Предельные определенные лимиты.
Напиши формулы, которые применяли и если можно ,то с короткими объяснениями.
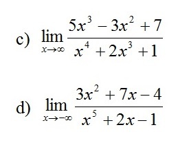
Решить примеры под номерами с,д,е,ф.
P.S, Модераторы и мой заданный вопрос включает в себя материал школьного предмета. С уважением Ваш зарегистрированный пользователь.
Приложения:


Ответы
Ответ дал:
0
для d, и f аналогично, для e нужно умножить числитель и знаменатель на сопряженное выражение к числителю и потом сократить.
Ответ дал:
0
Спасибо большое!
Вас заинтересует
2 года назад
2 года назад
7 лет назад
7 лет назад
10 лет назад
10 лет назад
10 лет назад