Ответы
Ответ дал:
0
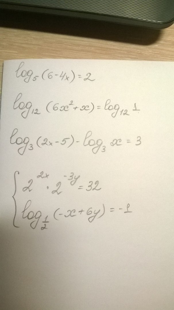
1)

Ответ: x=-19/4
2)
ОДЗ:


x₂ не входит в ОДЗ.
Ответ: x=1/3
3)
ОДЗ:
2x-5>0
x>5/2
и
x>0
↓
x∈(5/2;+∞)

Умножаем на х всё уравнение:

x=-1/5 не входит в ОДЗ⇒Решений нет.
Ответ: решений нет.
4)

Сделаем проверку:

Ответ:(4;1)
Ответ: x=-19/4
2)
ОДЗ:
x₂ не входит в ОДЗ.
Ответ: x=1/3
3)
ОДЗ:
2x-5>0
x>5/2
и
x>0
↓
x∈(5/2;+∞)
Умножаем на х всё уравнение:
x=-1/5 не входит в ОДЗ⇒Решений нет.
Ответ: решений нет.
4)
Сделаем проверку:
Ответ:(4;1)
Вас заинтересует
2 года назад
2 года назад
8 лет назад
8 лет назад
10 лет назад
10 лет назад
10 лет назад