Каково давление сжатого воздуха ,находящегося в баллоне вместимостью 20 л, при 12 С ,если масса этого воздуха 2 кг?
2. Газ при давлении 0,2 МПа и температуре 15С, имеет объемом 5 л, Чему равен объемом газа этой массы при нормальных условиях.
решите пожалуйста буду благодарна!!
Ответы
Смотри вложения)))) Удачи!!!! ^ ----------- ^




№1.
По уравнению Менделеева-Клайпирона , где р - оказывающее давление (Па), V - объём (м³), m - масса вещества (кг), M - малярная масса вещества (кг/моль), T - абсолютная температура (К), R - универсальная газовая постояная (R = 8,31 Дж/моль*К). Выражаем находимое давление:
. В системе СИ: 12 °С = 289 К; 20 л = 0,02 м³. Малярная масса воздуха М = 0,029 кг/моль. Подставляем численные данные и вычисляем:
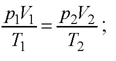
№2.
??? пиши условие задачи понятней: "Чему равен объемом газа этой массы при нормальных условиях" - набор слов.



