помогите решить. нужно вставить число, чтобы было правильное равенство.
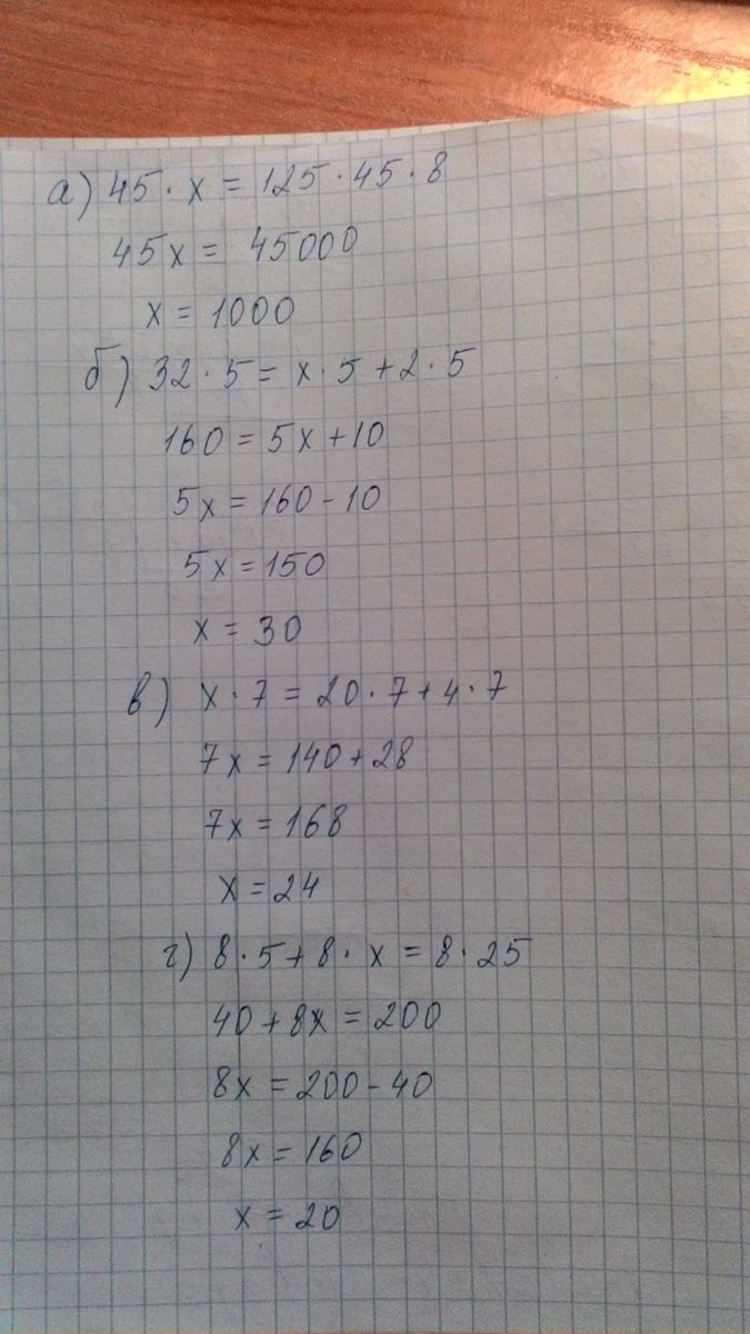
а) 45*?= 125*45*8
б)32*5=?*5+2*5
в) ? *7=20*7+4*7
г) 8*5+8*?=8*25
д) 4*6+15*6=?*6
е)34*?+16*9=?*9
ПОМОГИТЕ ПРОШУ ВАС!
Ответы
Ответ дал:
0
попробуй д) и е) решить также, просто заменяй на х неизвестный множитель. Удачи)))
Приложения:

Ответ дал:
0
480=48х
Ответ дал:
0
х=480/48
Ответ дал:
0
х=10
Ответ дал:
0
спасибо большое
Ответ дал:
0
не за что)))
Вас заинтересует
2 года назад
2 года назад
7 лет назад
7 лет назад
10 лет назад
10 лет назад