Ответы
Ответ дал:
0
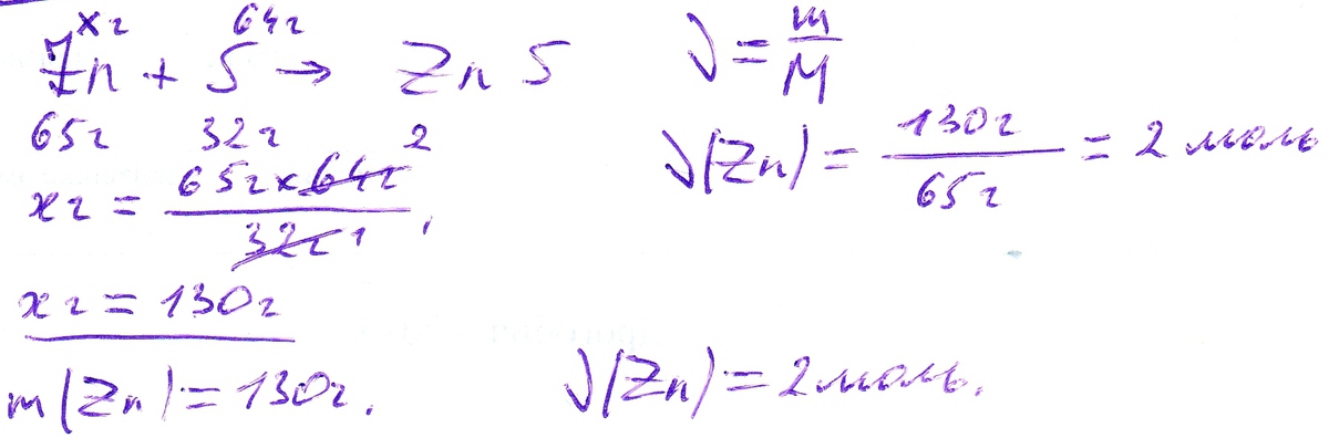
Ответы на "Какое кол-во вещества и какая масса цинка потребуется для взаимодействия с 64 граммами серы?"
Приложения:

Вас заинтересует
2 года назад
2 года назад
7 лет назад
7 лет назад
10 лет назад
10 лет назад