• Предмет: Алгебра
  • Автор: ozonov99
  • Вопрос задан 10 лет назад

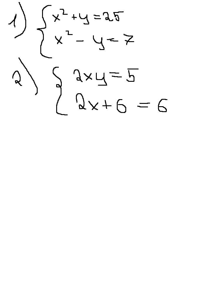
Решите 2 системы уровнения, с решением

Приложения:

Ответы

Ответ дал: kononovarita20
0
Вот первое , а второе я не знаю как , оно вроде тоже легкое . но почему то не получается 
Приложения:
Ответ дал: ozonov99
0
а это каким методом?
Ответ дал: ozonov99
0
а каким методом 1?
Ответ дал: mmhishnik2013
0
методом подстановки
Ответ дал: mmhishnik2013
0
во втором похоже ошибка- проверьте данное вами условие
Приложения:
Ответ дал: mmhishnik2013
0
понятно
Ответ дал: mmhishnik2013
0
добавил вторую фотку с исправленным 2 заданием
Ответ дал: ozonov99
0
спасибо большое очень вам благодарен!
Ответ дал: mmhishnik2013
0
не за что
Ответ дал: mmhishnik2013
0
буду рад, если отметите мой ответ как лучший
Вас заинтересует