• Предмет: Алгебра
  • Автор: kotya456
  • Вопрос задан 10 лет назад

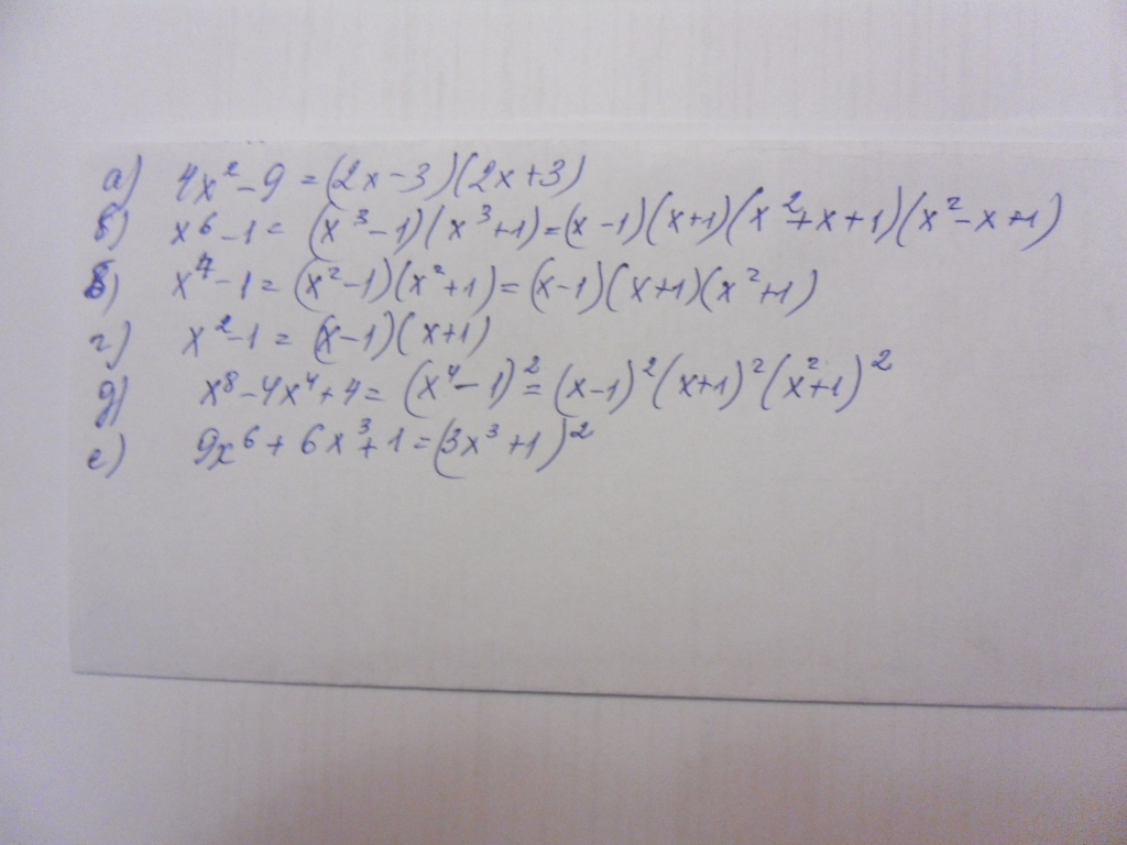
Помогите пожалуйста разложить на множители!!!!

Приложения:

Ответы

Ответ дал: НикаВодолей
0
Решение на фотографии
Приложения:
Ответ дал: zaicdnk90
0
1)(2x-3)(2x+3)
2)(x^2-1)(x^2+1)
4)(x-1)(x+2)
5)(x^4-2)^2
6)(3x^3+1)^2
Приложения:
Вас заинтересует