Ответы
Ответ дал:
0
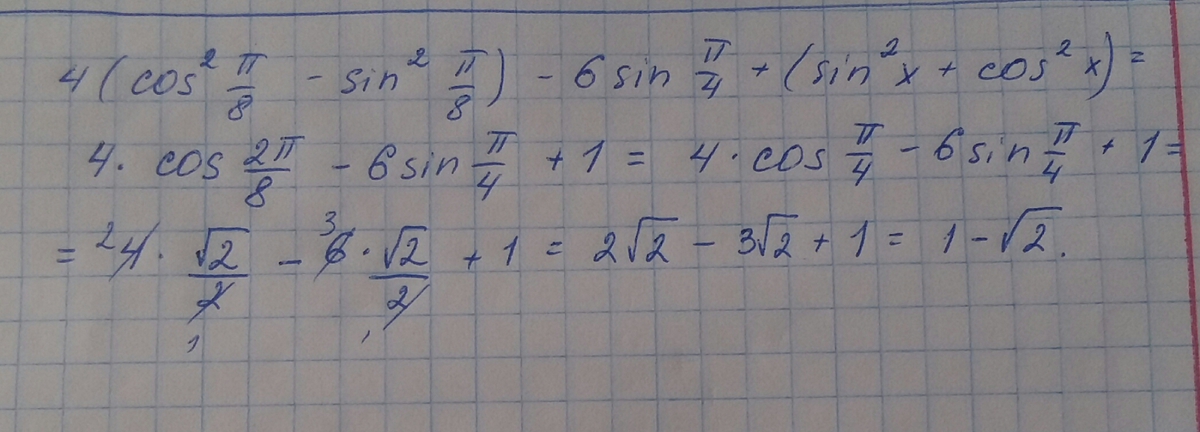
если я правильно поняла с квадратами, то так
Приложения:

Вас заинтересует
2 года назад
2 года назад
7 лет назад
7 лет назад
10 лет назад
10 лет назад
10 лет назад