• Предмет: Алгебра
  • Автор: kseniya42
  • Вопрос задан 11 лет назад

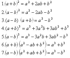
Как раскрываются скобки в формулах сокращеного умножения( во всех формулах)?

Ответы

Ответ дал: Gospozha
0

смотри во вложениях....

 

Приложения:
Вас заинтересует