• Предмет: Алгебра
  • Автор: SchoolBloxa
  • Вопрос задан 10 лет назад

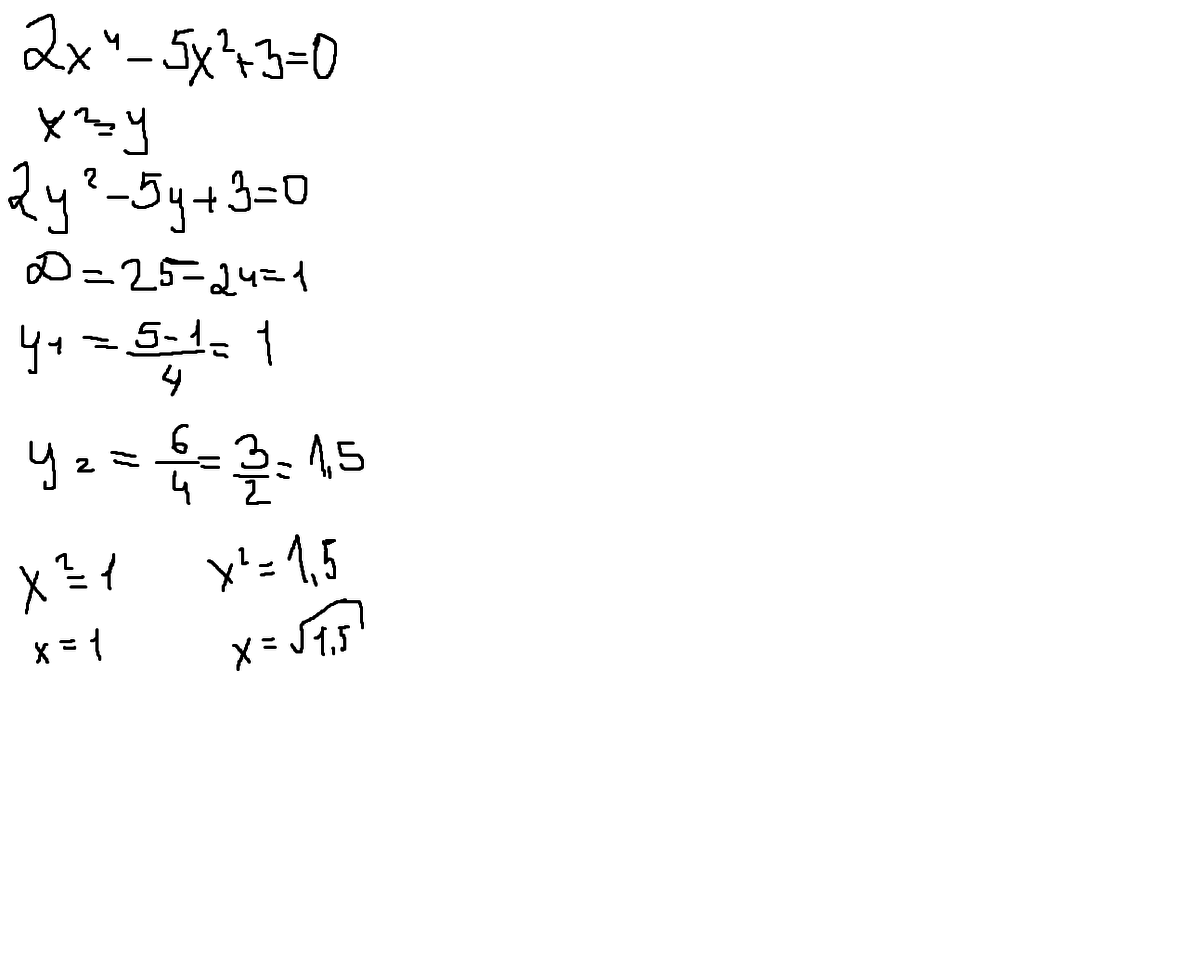
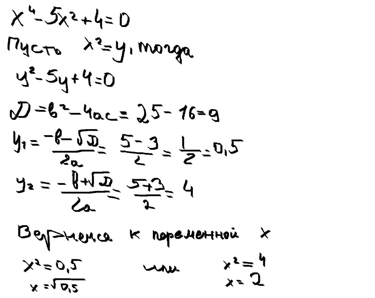
Решите уравнения: Номер 850. Все 6 примеров.Немного не видно,но разглядеть всё можно.

Приложения:

Ответы

Ответ дал: ДжексонВан
0
надеюсь помогла..Остальное вы можете решить по примере первой)Добавила еще одну
Приложения:
Ответ дал: SchoolBloxa
0
Спасибо)Ну мне то надо все)Так то поэтому и поставил 45 баллов
Ответ дал: SchoolBloxa
0
Я просто вообще в тему не могу вникнуть
Ответ дал: ДжексонВан
0
Хорошо я решу вам остальное только подождите)
Ответ дал: ДжексонВан
0
Я тут новичок про баллы не знаю,но помогу)
Ответ дал: SchoolBloxa
0
Хорошо)Спасибо
Вас заинтересует