Ответы
Ответ дал:
0
к 1 знам.
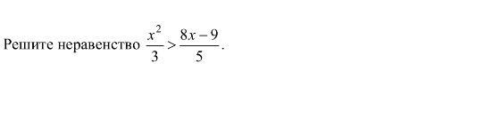
5x^2>3(8x-9)
5x^2> 24x-27
5x^2-24x+27=0
Диксриминант
D=b^2-4ac=24^2-4×5×27=36
X1=-b+корень изD/2a=(24+6)/10=3
Х2=-b-к. ИзD=24-6/10=1,8
Рисуешь прямую,отмечаешь х1 и х2,это точки пересечения параболы с осью
Ветви вверх,т.к. a> 0.
Амотриш где ветви над осью
Ответ (-бесконечности;1,8) и (3;беск.)
5x^2>3(8x-9)
5x^2> 24x-27
5x^2-24x+27=0
Диксриминант
D=b^2-4ac=24^2-4×5×27=36
X1=-b+корень изD/2a=(24+6)/10=3
Х2=-b-к. ИзD=24-6/10=1,8
Рисуешь прямую,отмечаешь х1 и х2,это точки пересечения параболы с осью
Ветви вверх,т.к. a> 0.
Амотриш где ветви над осью
Ответ (-бесконечности;1,8) и (3;беск.)
Ответ дал:
0
В4 строчке не =,а >
Вас заинтересует
3 года назад
8 лет назад
8 лет назад
10 лет назад
10 лет назад