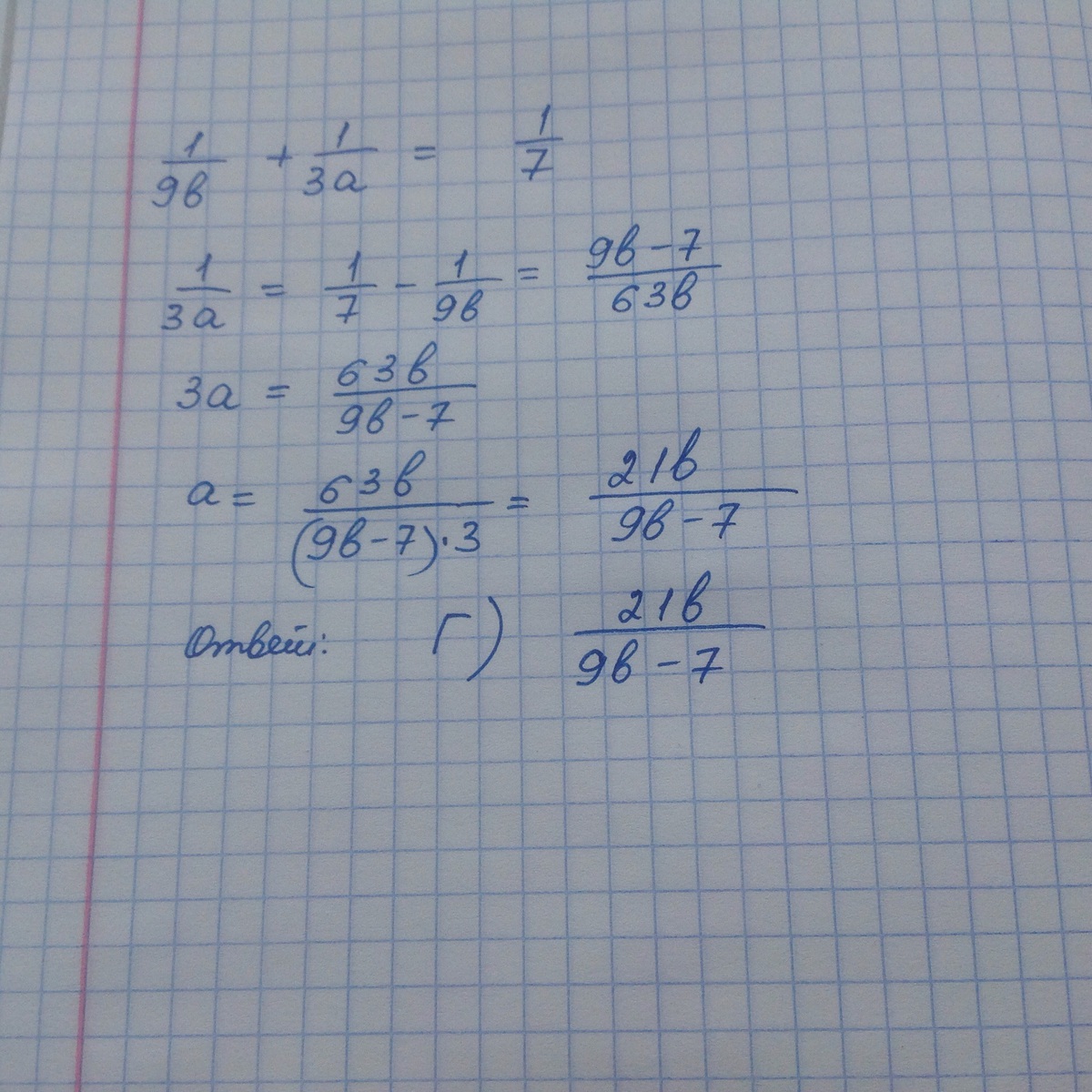
выразите переменную а из уравнения 1/9b+1/3a 1/7
варианты ответов:
А) 9b-721b
Б) 7-9b21b
B) 21b7-9b
Г) 21b9b-7
Ответы
Ответ дал:
0
Решение смотри в приложении
Приложения:

Вас заинтересует
7 лет назад
7 лет назад
10 лет назад
10 лет назад