• Предмет: Алгебра
  • Автор: Lorukai
  • Вопрос задан 10 лет назад

НАЙТИ ПРОИЗВОДНУЮ функции

Приложения:

Ответы

Ответ дал: LissaCherry
0
y'=(5-x)/25+(x-5)/x^2
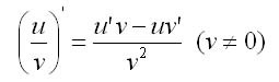
Решается по формуле
Приложения:
Вас заинтересует