• Предмет: Математика
  • Автор: Poooee
  • Вопрос задан 2 года назад

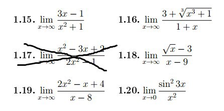
Помогите пожалйуста вычислить пределы.

Приложения:

NewUser2015: сейчас решу

Ответы

Ответ дал: NewUser2015
1
решение во вложении------
Приложения:
Вас заинтересует