Ответы
Ответ дал:
0
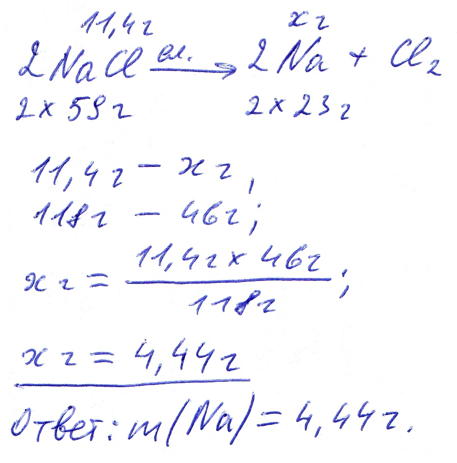
Ответ на "Вычислить массу натрия который получается при электролизе расплава хлорида натрия массой 11,4?":
Приложения:

sukonnikoffma:
по всеобщей договоренности и принятой конвенции на симпозиуме химиков было принято, что молекулярную массу хлора -не округлять до целого числа - всегда 35.5
Вас заинтересует
1 год назад
2 года назад
2 года назад
7 лет назад
7 лет назад